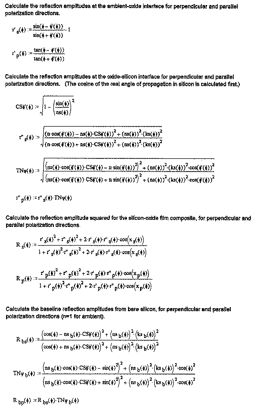
MathCad program to generate a theoretical curve that
would be generated by this equipment if the silicon dioxide covered wafer were
analyzed:


See our Surface Oxide Tester, which
measures the film thickness' on copper in Angstroms with the speed and
user-convenience required in QC Test Labs.